LAP

エイズ・HIV関連治療薬詳細情報
クラリスロマイシン


GO TOクラリスロマイシンの臨床試験について


1995年2月改訂
[**使用上の注意改訂]
l993年4月改訂
[*使用上の注意改訂]
日本標準商品分類番号876149

承認番号等
(3AM)第25l号(薬価基準収載)

マクロライド系抗生物質製剤
指・要指クラリス(R)錠200 Clarith(R)tab.200
日抗基:クラリスロマイシン錠


クラリスロマイシンは、大正製薬(株)総合研究所において創製された新規のマクロライド系抗生物質である。
本剤は、構造的特徴により酸に安定であり、高い血中濃度と持続性を示すと共 に、良好な組織移行性を有する。
これらの特性を反映し、臨床的に優れた有用性が認められている。

【組成】

製品名主成分添加物
クラリス錠200l錠中クラリスロマイシン
200mg(力価)
ポリオキシエチレン
ソルビタン脂肪酸エステル

【効能・効果】
 クラリスロマイシン感性のブドウ球菌属、レンサ球菌属(腸球菌を除く)、ペ プトストレプトコッカス属、ブランハメラ・カタラリス、インフルエンザ菌、 カンピロバクター属、マイコプラズマ属、クラミジア属による下記感染症

【用法・用量】
 通常、成人にはクラリスロマイシンとして1日400mg(力価)を2回に分けて経口投与する。なお、年齢、症状により適宜増減する。

【使用上の注意】

*本剤の使用にあたっては、耐性菌の発現等を防ぐため、原則として感受性を確認し、疾病の冶療上必要な最小限の期間の投与にとどめること。
  1. 次の患者には慎重に投与すること
    1. 本剤及び他のマクロライド系薬剤に対し過敏症の既往歴のある患者
    2. 肝機能障告のある患者
    3. *高齢者(「高齢者への投与」の項参照)

  2. 相互作用
    1. ** テルフェナジン、 アステミゾールとエリスロマイシンとの併用 で、まれにQT延長、心室性不整脈(torsades de pointesを含む)、あるいは外国では心停止(死亡を含む)などの心血管系の副作用が報告されているので併用する場合は慎重に投与する
    2. 次の医薬品の作用を増強させるとの報告があるので、併用す る場合には、その医薬品を減量するなど慎重に投与すること。
        テオフィリン

  3. 副作用
    1. 過敏症
       ときに発疹等の過敏症状が現れることがあるのでこのような場合には投与 を中止すること。
    2. 血液
       ときに好酸球増多が現れることがある。
    3. 肝臓
       ときにGOT、GPT等の上昇が現れることがある。
    4. 胃腸
       ときに嘔気、嘔吐、胃部不快感、腹部膨満感、腹痛、下痢、また、まれに 食欲不振、軟便等の症状が現れることがある。
    5. その他
       まれにめまい、倦怠感が現れることがある。

  4. *高齢者への投与
     一般に高齢者では、生理機能が低下しており、高い血中濃度が持続ずるおそ れがあるので慎垂に投与すること。
  5. 妊婦への投与
     動物実験で、母獣に毒性があらわれる高用量において、胎児毒性(心血管系 の異常、口蓋裂、発育遅延等)が報告されているので、妊婦又は妊娠している 可能性のある婦人には、治療上の有益性が危険性を上回ると判断される場合に のみ投与すること。
  6. 妊婦への投与
     動物実験で、母獣に毒性があらわれる高用量において、胎児毒性(心血管系 の異常、口蓋裂、発育遅延等)が報告されているので、妊婦又は妊娠している 可能性のある婦人には、治療上の有益性が危険性を上回ると判断される場合に のみ投与すること。
  7. 未熟児、新生児への投与
     未熟児及び新生児に対する安全性は確立していない(使用経験がない)。
  8. クラミジア感染症
     クラミジア感染症に対する本剤の投与期間は原則とて14日間とし、必要に応 じて更に投与期間を延長する。

【薬効薬理】

  1. 抗菌作用(文献1〜9)
    1.  ブドウ球菌属、レンサ球菌属等の好気性グラム陽性菌、 ブランハメラ・カタラリス、インフルエンザ菌、百日咳菌、カンピロバクター属等の一部のグラム陰性菌、ペプトストレプトコッカス属、マイコプラズマ属、クラミジア属に抗菌作用を示し、その作用は他のマクロライド系抗生物質と同等以上である。一方、各種感染症モデルにおいては、本剤の良好な組織移行性を反映し、更に優れた防御及び治療効果を示す。
    2.  ヒト主代謝物14位水酸化体は、未変化体とほぼ同等の抗菌力を有する。
  2. 作用機序(文献10)
     細菌の70Sのリボソームの50Sサプユニットと結合し、蛋白合成を阻告する。

【体内薬物動態】
  1. 血清中濃度(文献11,12)
     健康成人に200mg(力価)を空腹時経口投与した時のCmaxは、投与約2.5hr後に1.10μg/mlを示し、T1/2は4.4hrであった。また、小児に5mg(力価)/kgを空腹時経口投与した時のCmaxは、投与約1hr後に1.58μg/mlを示し、T1/2は2.5hrであった。なお、個体間のバラツキは少なく、食事による影響もほとんど認められなかった。

    clarith zu1

  2. 組織内移行(文献13〜17)
     患者において唾液、喀痰、気管支分泌物等への移行は良好で、血清中濃度と 同等もしくはそれ以上の濃度を示した。また、皮膚、扁桃、上顎洞粘膜等の組 織中濃度はほとんどの例で血清中濃度を大きく上まわった。
  3. 代謝・排泄(文献11,18,19)
     ヒトにおける主代謝物は14位水酸化体であり、血清中には未変化体とほぼ同 量存在し、尿中には投与後24時間までに30〜50%が主に未変化体及び14位水酸化体として排泄された。

【臨床適用】
  1. 臨床効果(文献20〜25)
     承認適応疾患2428例において本剤の効果が検討された。
    1. 浅在性化膿性疾患(毛嚢炎、せつ、せつ腫症、よう、丹毎、蜂巣炎、リン パ管(節)炎、 ひょう疽、化膿性爪囲炎、皮下膿瘍、汗腺炎、集簇性ざ瘡、 感染性粉瘤、慢性膿皮症、肛門周囲膿瘍)に対する有効率は75.9%(309/ 407)であった。  また、また、二重盲検比較試験で浅在性化膿性疾患に対する本剤の有用性 が確認された。
    2. 呼吸器感染症(咽喉頭炎、急性気管支炎、扁桃炎、慢性気管支炎、びまん 性汎細気管支炎、気菅支拡張症(感染時)、慢性呼吸器疾患の二次感染、肺 炎、肺化膿症)に対する有効率は81.9%(749/914)であった。  また、二重盲検比較試験で肺炎、慢性気道感染症、扁桃炎に対する本剤の 有用性が確認された。
    3. 非淋菌性尿道炎に対する有効卒は87.0%(3l4/36l)であった。
    4. 子宮頸管炎に対する有効率は84.6%(l2l/l43)であった。
    5. 耳鼻科領域感染症(中耳炎、副鼻腔炎)に対する有効率は66.8%(155/ 232)であった。また、二重盲検比較試験で中耳炎に対する本剤の有用性が確認された。
    6. 歯科口腔外科領域感染症(歯周組織炎、歯冠周囲炎、顎炎)に対する有効 率は83.0%(254/306)であった。  また、二重盲検比較試験で歯科口腔外科領域感染症に対する本剤の有用性 が確認された。
    7. 外科領域感染症及びその他の感染症に対する有効率は84.6%(55/65)で あった。

  2. 副作用及ひ臨床検査値の変動
     総症例3645例(成人2885例、小児760例)中、副作用は成人96例(3.33%)、小児12例(1.58%)合計108例(2.96%)に認められた。副作用の種類は主に腹痛、下痢等の消化器症状で成人84件、小児14件合計98件(2.69%)であった。  臨床検査値の変動は、GPT上昇(成人2.44%、小児l1.97%)、GOT上昇(成人1.74%、小児2.71%)、好酸球増多(成人1.53%、小児2.64%)が主なものであった。

【非臨床試験】
<毒性>
  1. 急性毒性:LD50(mg/kg)(26,27)
    動 物・投与経路経口腹腔内皮下静脈内

    マウス
    (ICR系5週齢)
    オス
    メス
    2740
    2700
    1030
    850
    >5000
    >5000
    173
    195
    ラット
    (Wistar系7週齢)
    オス
    メス
    3470
    2700
    669
    753
    >5000
    >5000
    ----
    ----

    マウス
    (ICR系3日齢)
    オス
    メス
    1290
    l230
    ----
    ----
    ----
    ----
    ----
    ----
    ラット
    (Wistar系3日齢)
    オス
    メス
    1330
    l270
    ----
    ----
    ----
    ----
    ----
    ----

  2. 亜急性毒性・慢性毒性(文献28〜34)
     ラットに12.5〜800mg/kgを28日間、1.6〜200mg/kgを6カ月間、イヌに6.25〜400mg/kgを28日間、0.8〜100mg/kgを6カ月間、サルに25〜400mg/kgを28日間、25〜l00mg/kgを6カ月間経口投与した試験において、高用量でGOT、GPTの上昇等の肝臓に対する影響がみられたが、これらの変化は休薬により回復傾向を示した。  なお、幼若ラット及びイヌの毒性は、成熟動物に比べ弱かった。
  3. 生殖試験(文献35〜39)
    1. 妊娠前及び妊娠初期投与試験
       Wistar系ラット(10〜125mg/kg/日)では、親動物の生殖能並びに胎児の生存、形態等に影響は認められなかった。
    2. 器官形成期投与試験
       Wistar系ラット(10〜160mg/kg/日)及びウサギ(10〜125mg/kg/日)では、催奇形性は認められなかった。  なお、国外における試験で次のような報告がある。SD系ラット(15〜150mg/kg/日)及びCD-1系マウス(15〜1,000mg/kg/日)において、それぞれ母動物に毒性があらわれる最高用量でラット胎児に心血管系異常並びにマウス胎児に口蓋裂が認められた。また、サル(35〜70mg/kg/日)において、母動物に毒性があらわれる70mg/kg/日で9例中1例に低体重の胎児がみられたが、外表、内臓、骨格には異常は認められなかった。
    3. 周産期及び授乳期投与試験
       wistar系ラット(10〜160mg/kg/日)では、産児の行動、発達等に影響は認められなかった。

  4. その他の毒性(文献40〜43)
     抗原性、変異原性は認められず感覚器に対する影響も認められなかった。
  5. 乳汁移行(文献44)
     動物実験(ラット)の乳汁中濃度は、血中濃度の約2.5倍で推移した。

【性状】
  1. 製剤の性状
     省略
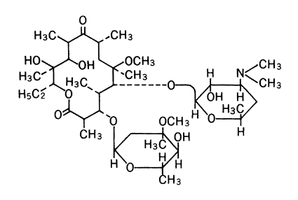
  2. 有効成分に関する理化学的知見
    一般名
    クラリスロマイシン(clarithromycin)
    化学名
    (-)-(3R,4S,5S,6R,7R,9R,11R,12R,13S,14R)-4-[(2,6-dideoxy-3-C- methyl-3-O-methyl-α-L-ribo-hexopyranosyl)oxy]-14-ethyl-12,13- dihydroxy-7-methoxy-3,5,7,9,11,13-hexamethyl-6-[[3,4,6-trideoxy-3- (dimethylamino)-β-D-xylo-hexopyranosyl]oxy]oxacyclotetradecane-2,10-dione
    略号
    CAM
    分子式
    C38H69NO13
    分子量
    747.96
    構造式
    clarith zu2

    融 点
    220〜227度C
    性 状
    白色の結品性の粉末でにおいはなく味は苦い。アセトン又はクロロホルムにやや溶けやすく、メタノール、エタノール又は工ーテルに溶けにくく、水にほとんど溶けない。

【取扱い上の注意】
  1. 指定医薬品
     注意-医師等の処方せん・指示により使用すること
  2. 貯法:室温保存
  3. 有効期間:3年(最終有効年月は、包装に表小)

【包装】

PTP:100錠、500錠

【主要文献】
1)
小野武夫ほか:Chemotherapy,36(S-3),1〜34,(1988)
2)
五島瑳智子ほか:Chemotherapy,36(S-3),35〜58(1988)
3)
横田健ほか:Chemotherapy,36(S-3),59〜70,(1988)
4)
加藤直樹ほか:Chemotherapy,36(S-3),71-81,(1988)
5)
長手尊俊ほか:Chemotherapy,36(S-3),129〜155,(1988)
6)
西野武志ほか:Chemotherapy,36(S-3),95〜110,(1988)
7)
州崎健ほか:Chemotherapy,36(S-3),111〜116,(1988)
8)
吉沢花子ほか:Chemotherapy,36(S-3),117〜122,(1988)
9)
長手尊俊ほか:Chemotherapy,36(S-3),156〜169,(1988)
10)
懸川友人ほか:Chemotherapy,36(S-3),123〜128,(1988)
11)
諏訪俊男ほか:Chemotherapy,36(12),921〜932,(1988)
12)
藤井良知ほか:Jap.J.Antibiotics,42(4),921〜932,(1989)
13)
佐々木次郎ほか:Chemotherapy,36(S-3),1058〜1073,(1988)
14)
古賀宏延ほか:Chemotherapy,36(S-3),698〜714,(1988)
15)
力富直人ほか:Chemotherapy,86(S-3),715〜728,(1988)
16)
塙伸太郎ほか:Chemotherapy,36(S-3),950〜954,(1988)
17)
宮崎康博ほか:Chemotherapy,36(S-3),926〜934,(1988)
18)
本廣孝ほか:Jap.J.Antibiotics,42(4),465〜494,(1989)
19)
諏訪俊男ほか:Chemotherapy,36(12),933〜940,(1988)
20)
原耕平ほか:Chemotherapy,37(2),200〜225,(1989)
21)
原耕平ほか:Chemotherapy,37(2),314〜335,(1989)
22)
河村正三ほか:耳鼻と臨床,35(1),134〜151,(1989)
23)
馬場俊吉ほか:耳鼻と臨床,35(1),113〜133,(1989)
24)
野原望ほか:Chemotherapy,37(2),172〜199,(1989)
25)
佐々木次郎ほか:Jap.J.Antibiotics,42(4),983〜1013,(1989)
26)
阿部訓志ほか:Chemotherapy,36(S-3),274〜288,(1988)
27)
古橋忠和ほか:基礎と臨床,22(7),1433〜1436,(1988)
28)
大島隆ほか:Chemotherapy,36(S-3),289〜310,(1988)
29)
古橋忠和ほか:基礎と臨床,22(7),1437〜1452,(1988)
30)
阪川隆司ほか:基礎と臨床,22(7),1453〜1484,(1988)
31)
永田良一ほか:基礎と臨床,22(7),1485〜1501,(1988)
32)
Harold Chestermannほか:基礎と臨床,22(7),1502〜1532,(1988)
33)
大島隆ほか:Chemotherapy,36(S-3),311〜333,(1988)
34)
樽本保男ほか:基礎と臨床,22(7),1533〜1564,(1988)
35)
山田隆ほか:Chemotherapy,36(S-3),334〜344,(1988)
36)
山田隆ほか:Chemotherapy,36(S-3),345〜361,(1988)
37)
山田隆ほか:Chemotherapy,36(S-3),362〜369,(1988)
38)山田隆ほか:Chemotherapy,36(S-3),370〜385,(1988)
39)
アボット社資料
40)
阿部訓志ほか:Chemotherapy,36(S-3),386〜393,(1988)
41)
安井一ほか:基礎と臨床,22(7),1565〜1574,(1988)
42)
川西廣明ほか:基礎と臨床,22(7),1576〜1585,(1988)
43)
阿部訓忠ほか:基礎と臨床,22(7),1587〜1598,(1988)
44)
諏訪俊男ほか:Chemotherapy,86(S-3),238〜247,(1988)
【文献請求先】

大正製薬株式会社 医薬情報部
〒171 束京都豊島区高田3丁目24番1号

大正製薬株式会社
束京都豊島区高田3丁目24番1号
電話 東京(03)3985-1111(大代表)


RETURN TOエイズ・HIV関連治療薬情報メニューに戻る